2020-2021年河南省洛阳市高一数学(理科)下学期期中试卷及答案(Word版)

图片[1]-2020-2021年河南省洛阳市高一数学(理科)下学期期中试卷及答案(Word版)-BT学习网
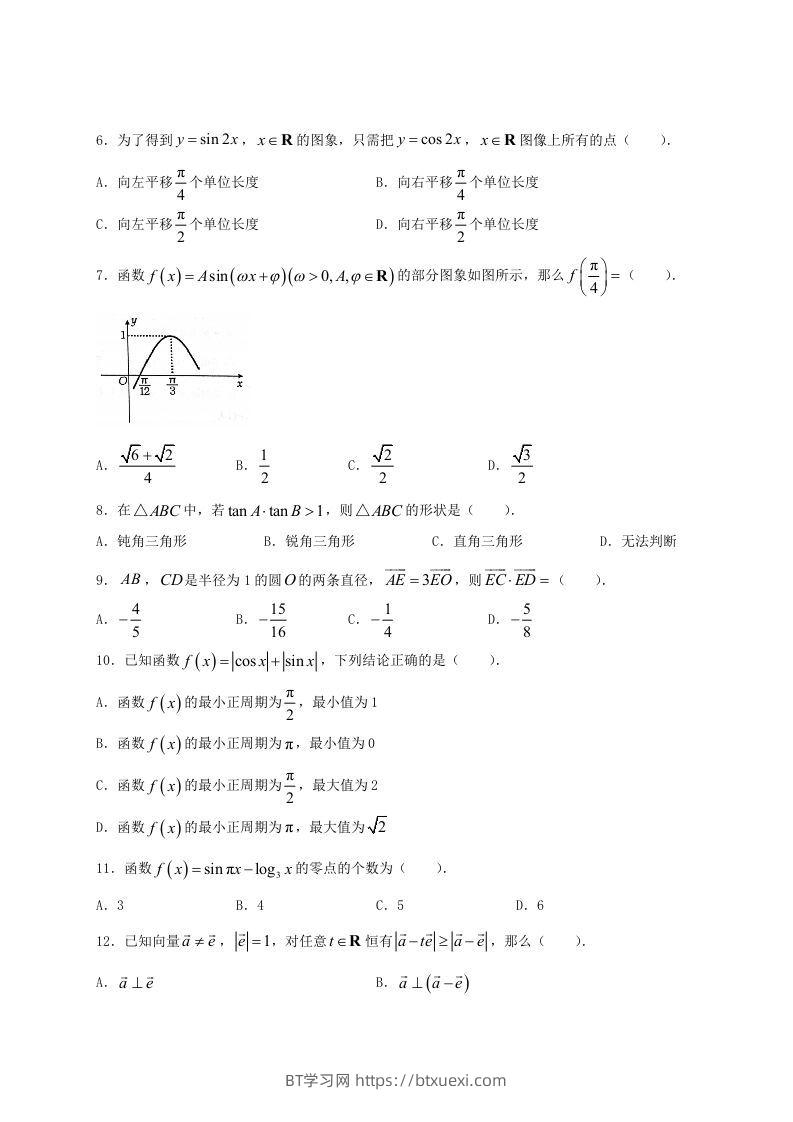
图片[2]-2020-2021年河南省洛阳市高一数学(理科)下学期期中试卷及答案(Word版)-BT学习网
图片[3]-2020-2021年河南省洛阳市高一数学(理科)下学期期中试卷及答案(Word版)-BT学习网

预览已结束,还剩5页未读,开通会员后可免费下载高清完整文档

© 版权声明
THE END
喜欢就支持一下吧
点赞5 分享
2020-2021年河南省洛阳市高一数学(理科)下学期期中试卷及答案(Word版)-BT学习网
2020-2021年河南省洛阳市高一数学(理科)下学期期中试卷及答案(Word版)
此内容为免费资源,请登录后查看
花瓣0花瓣10
格式doc
页数8 页
大小736.80 KB
免费资源
评论 抢沙发

请登录后发表评论

    请登录后查看评论内容